前回はクベルカ・ムンク式の計算の導出について説明しましたが、今回は、その式を利用した不透明塗膜の調色定理について説明します。 不透明膜のレシピ計算は基本的には二定数法が使用されます。
前回の計算で説明にあるように、不透明レイヤーにおける吸収と散乱の比は表面反射率によって一意に決まり、以下のような式になります。
光の粒子が顔料粒子に遭遇して吸収または拡散される確率は、顔料の分布密度、つまり顔料の色材濃度に比例します。 顔料粒子の数が2倍になると,光が顔料に衝突する確率も2倍になるということです。
また、吸収と散乱の効き方(効率)は、屈折率など顔料の性質、顔料のサイズや形状、ビヒクルの性質などに影響されます。 また、色材を混合する場合、例えば色材Aと色材Bの混合では,各色材の吸収係数と散乱係数に加法性が認められることがわかっています。 A、B、AB混合の各吸収係数をそれぞれKA KB KM 吸収係数をそれぞれSA SB SMとすると、
この加法性を利用して調色結果を予測することになります。
吸収および散乱係数は塗膜中の顔料の分布量に依存するため、たとえば、ある色材Aの色材濃度をCAとし、その単位濃度あたりの吸収,散乱係数をそれぞれ
、
とすると、
ということになります。
複数の色材を混合した場合は、

ここで、
: 単位濃度あたりの吸収係数
: 単位濃度あたりの散乱係数
: 顔料の色材濃度

は混合物の反射率R∞を測定することで求めることができます。


これら各色材の単位濃度あたりの吸収係数、散乱係数は、それぞれの色材で一定だと考えられるため、これらの値はデータベース化し、そここら引き出して使用します。

ターゲットとなる混合色のKM/SM(つまりターゲットの反射率R)を得るために必要なカララントの色材濃度(C1,C2,C3…)は、各波長ごとの等式にK、Sの値を埋めることで算出することが可能となるわけです。
そして、単位濃度あたりの吸収係数
、散乱係数
のデータベースを基礎データ(もしくはキャリブレーションデータ)と呼び、このデータをベースとなる色材に対して用意しておかなければなりません。
◆基礎データの構築

各色材におけるKとSの決定
不透明膜の反射率は吸収係数Kや散乱係数Sの絶対値ではなく,その比(K/S)に依存します。このため、KおよびSは標準素材(通常,二酸化チタンの白を使用)の散乱係数Swを変動しないリファレンスとして、このにSw対する相対値として定義します。 また、二定数法は十分な隠ぺい力のあるコート層を対象として適用されるため、白色とのミックスによりキャリブレーションデータを作成することになります。
まず、100% ホワイト マストーン(十分な膜厚を持つ純色) は非常に重要です。
次に各顔料と白色のレットダウン(段階配合展色サンプル)を作成・測定します。

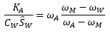
CWの顔料濃度の白とKA、CAの顔料濃度の顔料Aをミックスしたサンプルパネルを作成し、このパネルの反射率Rを測定することでミックスのKM/SMを求めます。

それぞれの色材の混色では吸収と散乱に加法性があるため、次の加法式が成立します。

右辺の分子と分母をSWで割って、

ここで,ωM=KM/SM, ωW=KW/SW, ωA=KA/SAとおいて、(各ωは反射率から算出可能)

KA = SAωA なので、

移行して、

となり、色材Aの散乱係数の白の散乱係数に対する比が求まる。また、SA = KA /ωA なので、

となり、色材Aの吸収係数の白の散乱係数に対する比も求まる。
Swは白の色材濃度Cwによりリニアに変化するため、白の単位量あたりの散乱係数
を用いると、

白色の単位濃度の散乱係数に対する顔料Aの吸収係数をKAW 散乱係数をSAW すると、
なので、


となる。
色材Aの色材濃度をCAとして、白の単位濃度の散乱係数に対する顔料Aの単位濃度吸収係数を
単位濃度散乱係数を
とすると、
なので、


となり、Aの単位色材濃度当たりの白の単位濃度の散乱係数に対する顔料Aの単位濃度吸収係数を
単位濃度散乱係数を
が求まる。
- 調色データベースは各色材に対して、色材濃度全域に関する吸収と散乱のデータを保持する必要がある。
- また、ここでの色材濃度は,CA+CWにおけるCAの比を指し,全体のボリュームからのCAの比ではないことに注意する。
- これらのデータは、白色(リファレンス)とのレットダウン(段階的配合展色サンプル)から求めておくことになる。
- 理想的な色材では色材濃度とKAW,SAWは一般的にリニアな関係となる。
(必ずしも直線的なリニアリティーが無い場合がある➡クベルカ・ムンク理論の問題点) - 各波長ごとに、[KAW ― 色材濃度]は異なる傾き
をとるため、各波長ごとのKAW,SAWをデータベース化する。
<測定誤差に関する注意事項>
◆ブラックリファレンスによる対策
上記のような問題が発生する場合、ブラック(リファレンス)を使用することで正確なKWA,SWAを入手する必要がある。
- 白色とブラックをミックスしたパネル:ωM,BW
- 少量のブラックと色材をミックスしたパネル:ωM,BA
- 白色単色パネル:ωw
- ブラック単色パネル:ωB
白色(リファレンス)とブラック(リファレンス)のレットダウン(段階配合展色サンプル)

また、色材Aとブラックリファレンスのミックスから、

(1)の各辺を(2)の各辺で割ると、

KAW =ωA SAWなので

となる。


基礎データとして求められた値
各波長に対して下記の値がデータベース化される
明るい黄色や赤などの長波長エリアに対する対応
マストーンの不透明性の問題
KWAおよびSAWを求める計算式では、色材Aの単色パネルのマストーン(白を含まない純色色材の色)の不透明(オペーク)展色パネルからωAを得る必要がある。しかし…
多くの色材では十分な隠ぺい力を確保できない。
そこで、100%のマストーンを必要としないKAW,SAWの求め方が必要になる。

多くの色材のマストーン(白を含まない100%色材の色)は厚い塗膜でも十分な隠ぺい力を持たない。
このような色材の色は背景色の影響を受けてしまうため、マストーンのK/S値が変動してしまう。
十分な隠ぺい力を確保するために色材にブラック(リファレンス)を加えた配合物を用意する。 これをブラックレットダウンと呼ぶ。
<マストーンを使用しないK,Sの求め方>

マストーンは必要ないが,各パネルは十分な隠ぺい力を持つ必要がある.

各波長において、求める係数は
の4つのため、各レットダウンのデータから最小2乗法による回帰によってKAWとSAWの値を求めることができる。
(レットダウンの段階サンプルは4段階以上必要)
各展色サンプルにおいて上記の式を求め、要素を行列として表記すると,



とすると
各展色サンプルの式は、

とあらわされる。
この回帰方程式の場合の[A]の最小2乗法の解は下記の行列の形で求められる。
おすすめの参考資料
-
測色入門ウェビナー|オンデマンドウェビナー
本ウェビナーでは、色の数値管理・デジタル化による品質管理について、測色計や標準光源装置の導入にあたって必要な知識をゼロからお伝えします。
-
調色作業のデジタル変革に取り組む色の再現性とインキ量の最適化を追求|導入事例
株式会社サンニチ印刷様は、エックスライト社のインキ調色ソフトウェア『InkFormulationソフトウェア』(IFS)を 最新バージョンに更新し、特色業務をさらに効率化した。
関連製品一覧
InkFormulation
InkFormulationは、迅速、正確かつ一貫したインキ配合および、調色値の作成、保存、認証、参照を行います。オフセット、フレキソ、グラビア、スクリーン印刷インキ対象。 |
Color iMatch
Color iMatchは業界トップクラスの調色エンジンを装備しています。マルチフラックス調色理論を用いて、カラーデータをスマートに処理。 |
お問い合わせや、無料相談・無償機材貸出・製品見学会のお申込はこちら