今回はCCM調色計算で最も基本とされているクベルカ・ムンク理論についてその導出の基本理論を追いかけてみます。
一般的に色材の混色は光の混色と異なり、各色材のX,Y,Zの三刺激値に対する加法性が成立しません。
しかしながら、各色材の吸収特性(K)と散乱特性(S)に関しては、加法性が認められることに注目し、この特性から色材の配合を予測に利用するものです。
この性質を配合予測に使用するには、K、Sと反射率Rの関係性を求めることが必要になります。
ここで、色材塗膜内の光束の挙動を明らかにすることで、この関係性を導出します。
(オリジナルのクベルカ・ムンクの理論は星間の光の伝播にまつわる理論として開発されました。
このため、この理論を色材塗膜内の着色剤間の光の挙動に応用するにはかなりの理論の飛躍があるようです。)
クベルカ・ムンクの計算は表面の反射率を、色材塗膜内の微小な厚さにおける、色材の吸収係数、および散乱係数の垂直方向の成分のみを検討することで予測算出する手法で、原理的には以下のような考えで導出されます。
Kdxはdx層における吸収によって失われる光量で、Sdxはdx層における散乱によって失われる光量です。
ただし,一方の光束から散乱によって失われた光量は、反対の光束として加算されることになります。
また,ixの光束がマイナスになるのは上向きのxを正とするため、
(1)の両辺をixで割って
(2)の両辺をj_xで割って
ここで、
です。
なぜなら、
であるから、両辺を微分して、

となるからです。
これを、式(3)(4)に代入して、

(5)と(6)の両辺を加えて、

ここで、
として、
両辺をrx倍して、

として、
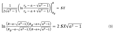
基材表面 x=0での反射率をRg、塗膜の厚さをXとし、その色材表面反射率をRとするとして、(7)の両辺を積分して、
ここで
とおくと
となり、(8)は
と置かれ、

となります。
両の積分を実行して、

m 、n をもとに戻すと、

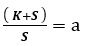
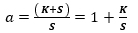
◆膜厚∞時の反射率の導出
完全不透明な塗膜における表面の反射率は膜厚∞時の反射率となります。
色材膜厚X→∞とすると、(9)の右辺は∞となるため、この等号式を満たすには、
左辺分母で
となる必要があります。
つまり、

なので、
膜厚∞時の反射率は

となる。
おすすめの参考資料
-
測色入門ウェビナー|オンデマンドウェビナー
本ウェビナーでは、色の数値管理・デジタル化による品質管理について、測色計や標準光源装置の導入にあたって必要な知識をゼロからお伝えします。
-
調色作業のデジタル変革に取り組む色の再現性とインキ量の最適化を追求|導入事例
株式会社サンニチ印刷様は、エックスライト社のインキ調色ソフトウェア『InkFormulationソフトウェア』(IFS)を 最新バージョンに更新し、特色業務をさらに効率化した。
関連製品一覧
InkFormulation
InkFormulationは、迅速、正確かつ一貫したインキ配合および、調色値の作成、保存、認証、参照を行います。オフセット、フレキソ、グラビア、スクリーン印刷インキ対象。 |
Color iMatch
Color iMatchは業界トップクラスの調色エンジンを装備しています。マルチフラックス調色理論を用いて、カラーデータをスマートに処理。 |
お問い合わせや、無料相談・無償機材貸出・製品見学会のお申込はこちら